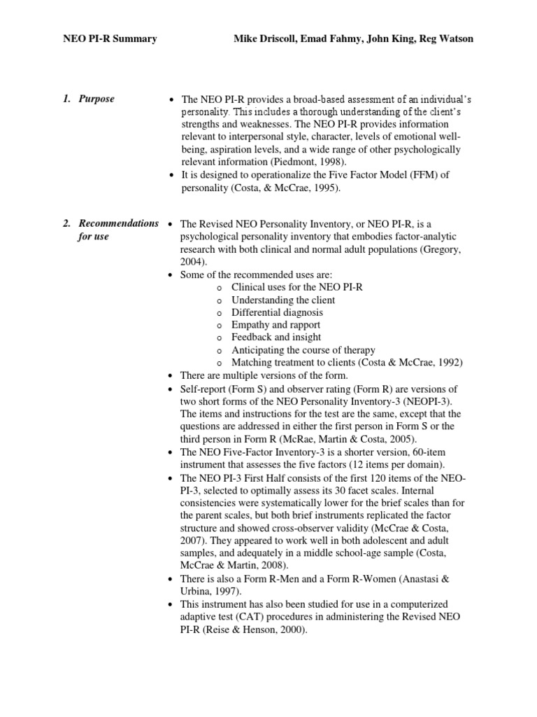
かんざも壁紙

Http Shodhganga Inflibnet Ac In Jspui Bitstream 10603 164580 8 08 Chapter 203 Pdf

Pdf Brief Versions Of The Neo Pi 3 Paul T Costa Academia Edu

Neo Pi

Personality Par Personality Mood Assessments

How To Subscribe To A Trading Signal

Cattell S Personality Factor Questionnaire Cpfq Development And

Pdf Neo Pi R Professional Manual

Means And Standard Deviations Of Neo Ffi And Secs Scale Scores For

Doc Brief Symptom Inventory Test Review Karen Mcgibbon

Means For Neo Ffi Five Factors By Type Of Individual Rated

Https Econtent Hogrefe Com Doi Pdf 10 1027 1614 0001 28 3 116

Neo Ffi Scoring Manual For Ppvt4

Personality Psychology

Https Shodhganga Inflibnet Ac In Bitstream 10603 12977 12 12 Appendices Pdf

Personality Assessment Inventory Adolescent Pai A

Neo Software System With Neo Pi 3 Neo Pi R Neo Ffi 3 Neo Pdr

Neo Pi

Personality Structure According To The Neo Ffi Download Table

Neo Pi

Https Shodhganga Inflibnet Ac In Jspui Bitstream 10603 84218 7 Chapter3 Pdf

Neo Pi

Https Encrypted Tbn0 Gstatic Com Images Q Tbn 3aand9gcsor0i0q5xhb7pisnte Lsoyllp2pdhsbdruo V7us7vdm4v4w Usqp Cau

Neo Pi R Interpretation Vlr0yj05yjlz

Ssbonlypsychology Psychology Theories Cognitive Psychology

Neo Pi

Https Encrypted Tbn0 Gstatic Com Images Q Tbn 3aand9gcsobem46ybwa0alnhpbs7on5lb Krvjhvspo4f3kvjagmluvbvv Usqp Cau

Neo Ffi Psychometric Properties Of A Short Personality Inventory

Personality Description And Measurement Part Ii The Cambridge

Neo Ffi Personality Inventory Pracownia Testow Psychologicznych

Neo Ffi 3 Free

Https Www Parinc Com Webuploads Samplerpts Fact 20sheet 20neo 20pi 3 Pdf

Frontiers Personality Traits And Career Role Enactment Career

Search Results For Neo Ffi 3 Answer Booklets

Neo Pi

Frontiers Antimicrobial Susceptibility Of Autochthonous Aquatic

Screening For Personality Disorders A Comparison Of The

Http Shodhganga Inflibnet Ac In Bitstream 10603 44385 10 10 Chapter 204 Pdf

Doc Neo Ffi 3 Interpreation Suhani Bedi Academia Edu

A Review On The Use Of Neo Pi R Validity Scales In Normative Job

Frontiers Personality Cortisol And Cognition In Non Demented

Https Econtent Hogrefe Com Doi Pdf 10 1027 1614 0001 28 3 116

Neo Pi Summary Psychology Cognitive Science Psychological

Neo Pir Psychology Cognitive Science Behavioural Sciences

A Review On The Use Of Neo Pi R Validity Scales In Normative Job

Https Shodhganga Inflibnet Ac In Jspui Bitstream 10603 189694 14 12 Chapter3 Pdf

Sage Reference The Sage Handbook Of Personality Theory And

Neo Pi

Inter Rater Reliability In Clinical Assessments Do Examiner

Examining The Reliability And Validity Of Clinician Ratings On The

Neo Ffi Psychometric Properties Of A Short Personality Inventory

Normal Personality Assessment In Clinical Practice The Neo

Neo Pi

Screening For Personality Disorders A Comparison Of The

Frontiers Validity Of Personality Measurement In Adults With

Neo Pi

Psi Parenting Stress Index 3rd Edition Product Information

Neo Ffi 3 Extraversion And Introversion Behavioural Sciences

Https Encrypted Tbn0 Gstatic Com Images Q Tbn 3aand9gcqhhothf12zijfqi O4u0m 55faxvi4ljjjorje Ziheiingp I Usqp Cau

Association Between 5 Httlpr Genotype And Neo Five Factor

Http Ikpp Si Att 88 Berry 20bagby 20effectiveness 20of 20neo Pi R 20validity 20scales 20jpa 2020 Pdf

Sage Reference The Sage Handbook Of Personality Theory And

Associations Between The Dopamine D4 Receptor Gene Polymorphisms

2

Http Shodhganga Inflibnet Ac In Bitstream 10603 27141 11 10 Chapter 203 Pdf

Neo Pi

Gale Academic Onefile Document Demographics And Personality

Neo Pi

Https Shodhganga Inflibnet Ac In Jspui Bitstream 10603 32690 11 10 Chapter 3 Pdf

Psychological Test Price List 2009 Doc Document

Neo Pi

Pdf Brief Versions Of The Neo Pi 3

Convergence Of Stranger Ratings Of Personality And Intelligence

Screening For Personality Disorders A Comparison Of The

Ssbonlypsychology Psychology Theories Cognitive Psychology

Ssbonlypsychology Psychology Theories Cognitive Psychology

Frontiers Validity Of Personality Measurement In Adults With

Https Shodhganga Inflibnet Ac In Bitstream 10603 12977 12 12 Appendices Pdf

Price List 2009 Test Assessment Applied Psychology

Screening For Personality Disorders A Comparison Of The

Https Onlinelibrary Wiley Com Doi Pdf 10 1002 J 2161 1912 2004 Tb00358 X

Https Encrypted Tbn0 Gstatic Com Images Q Tbn 3aand9gcrutmh6l Jcy7bsbltsh163gmvkjted5t5zftrweracjwp9ljvr Usqp Cau

Http Shodhganga Inflibnet Ac In Jspui Bitstream 10603 148556 10 10 Chapter 204 Pdf

Pdf Neo Pi R Professional Manual

Frontiers Controlling For Response Biases In Self Report Scales

Neo Ffi Psychometric Properties Of A Short Personality Inventory

2 The Big Five Locator Conversion Sheet Norm Score Neg Emot Extra

Neo Pi R Interpretation Extraversion And Introversion Stereotypes

Http Cda Psych Uiuc Edu Multivariate Fall 2013 Neo Mccrae Costa Pdf

Screening For Personality Disorders A Comparison Of The

Neo Personality Inventory Revised Neo Pi R

Neo Ffi Psychometric Properties Of A Short Personality Inventory

Personality Factors In Adults And The Elderly A Comparative Study

Figure 1

Psychological Tests N Pdf Free Download

2

Dfd4hc9jhx7drm

16pf 5th Edition Chicago School Library

2

Neo Five Factor Inventory 3 Neo Ffi 3

Neo Pir Psychology Cognitive Science Behavioural Sciences

Neo Pi

Exploring The Role Of Testosterone In The Cerebellum Link To

Frontiers Validity Of Personality Measurement In Adults With

Https Www Acer Org Files Neo Pi 3 Interp Rpt Sample Report Pdf